Dlaczego osoby wykonujące zawód przewoźnika transportowego oraz zarządzającego transportem muszą cieszyć się dobrą reputacją?
Jednym z warunków nałożonych na przewoźników transportu drogowego oraz zarządzających transportem, na mocy Rozporządzenia Parlamentu Europejskiego i Rady (WE) 1071/2009 (Art. 3), jest cieszenie się dobrą reputacją.
Jakie warunki należy spełniać, aby cieszyć się dobrą reputacją?
Zgodnie z Ustawą o transporcie drogowym (Art. 5 ust 2a), dobra reputacja przewoźnika oraz zarządzającego weryfikowana jest w Polsce na podstawie następujących aktów prawnych:
- art. 173-175, art. 178-180, art. 189a, art. 218-221, art. 296-306 i art. 308 Kodeksu karnego,
- art. 586-589 Kodeksu spółek handlowych,
- art. 522 i art. 523 Prawa upadłościowego,
- art. 53-64 i art. 68 Ustawy o przeciwdziałaniu narkomanii,
- art. 399 i art. 400 Prawa restrukturyzacyjnego.
Jakie są konsekwencje utraty dobrej reputacji?
Zgodnie z art.15a ustawy z dnia 6 września 2001 r. o transporcie drogowym:
- Wielokrotne popełnianie poważnego naruszenia, o którym mowa w art. 6 ust. 1 lit. b rozporządzenia (WE) nr 1071/2009, w państwie członkowskim Unii Europejskiej, może prowadzić do wszczęcia procedury cofnięcia wypisów z licencji wspólnotowej oraz zawieszenia wydawania dodatkowych wypisów z licencji wspólnotowej.
Co za tym idzie, przedsiębiorca powinien prowadzić firmę tak, aby on i jego pracownicy nie popełniali naruszeń, które mogłyby naruszyć jego dobrą reputację. Systematyczne kontrolowanie zarówno zmian w przepisach, jak i zatrudnianych przez siebie kierowców pod kątem popełnianych przez nich naruszeń, zmniejsza ryzyko utraty dobrej reputacji, lub – co gorsza – utraty licencji przewoźnika lub zarządzającego.
Jak przeprowadzana jest weryfikacja dobrej reputacji?
W przypadku gdy została wszczęta procedura oceny dobrej reputacji, przeprowadzona zostanie analiza sytuacji w firmie według pewnego schematu. Wszystkie stwierdzone naruszenia weryfikowane są na podstawie przypisanych im wag. Wystarczy jedno najpoważniejsze naruszenie, aby utracić dobrą reputację. Natomiast w przypadku pozostałych naruszeń obliczany jest współczynnik uwzględniający nie tylko wagę naruszeń, ale również ilość zatrudnionych kierowców w ciągu roku.
Jak przebiega postępowanie administracyjne?
Pierwszym etapem dobrej reputacji jest wszczęcie postępowania administracyjnego. Dopiero kolejnym krokiem, jest orzeczenie o jej utracie. W przypadku wydania przez organ decyzji niekorzystnej dla przedsiębiorcy ma on prawo do wniesienia odwołania.
Postępowanie oceny dobrej reputacji prowadzi właściwy organ danego państwa. W Polsce organami, które są uprawnione do wszczęcia postępowania administracyjnego w sprawie spełnienia wymogu dobrej reputacji przewoźnika transportowego lub osoby zarządzającej transportem, w przypadku licencji wspólnotowej jest Główny Inspektor Transportu Drogowego, natomiast w przypadku transportu krajowego -Starosta zależny od siedziby przewoźnika.
Kierowcy powinni być świadomi, że nałożenie mandatu przez służby kontrolujące może być dopiero początkiem kłopotów zarządzającego transportem czy przewoźnika drogowego. Właściciel przedsiębiorstwa transportowego powinien zadbać, aby kierowcy byli zapoznani z bieżącymi przepisami, takimi jak Ustawa o transporcie drogowym oraz pozostałymi przepisami, które ich dotyczą. Wszystko po to, aby byli świadomi generowania ewentualnych naruszeń.
Jakie czynniki brane są pod uwagę, przy ocenie dobrej reputacji?
W trakcie oceny dobrej reputacji organ oceniający bierze pod uwagę różne wpływające na nią czynniki:
- jaka jest liczba naruszeń w stosunku do liczby kierowców w firmie;
- jaka jest liczba naruszeń w stosunku do ilości wykonywanych operacji transportowych;
- czy istnieje możliwość poprawy sytuacji w firmie;
- czy w firmie wprowadzono działania wdrażające dyscyplinę pracy, zapobiegające powstawaniu naruszeniom;
- tzw. interes społeczny, organ kontrolujący ocenia, czy utrata reputacji przedsiębiorcy pociągnie za sobą inne konsekwencje np. wzrost bezrobocia na danym terenie;
- opinię polskiej organizacji, która zrzesza przewoźników drogowych, działającej od co najmniej 3 lat, jeśli przedsiębiorca jest członkiem.
Organ oceniający będzie również mógł wziąć pod uwagę inne okoliczności.
Po przeprowadzonym postępowaniu administracyjnym organ oceniający może wydać opinię stwierdzającą utratę dobrej reputacji. Jeśli uzna, że utrata dobrej reputacji będzie stanowiła nieproporcjonalną karę za zaistniałe naruszenia, to pozostawi ją nienaruszoną.
W przypadku wydania decyzji przez właściwy organ, iż wymóg dobrej reputacji nie pozostaje spełniony, organ decyzyjny zawiesza zezwolenie na wykonywanie zawodu przewoźnika drogowego na całą lub część posiadanej floty, do momentu zastosowania środka rehabilitacyjnego, czyli zatarcia skazań za przestępstwa i wykroczenia.
Następstwa utraty dobrej reputacji
Dobrą reputację można również utracić za popełnienie naruszeń innych niż najpoważniejsze. Nastąpi to jeśli pozostałe naruszenia będą występowały z większą częstotliwością.
Niemniej największym zagrożeniem dla przewoźnika drogowego jest najpoważniejsze naruszenie, gdzie już wystąpienie jednego naruszenia tego typu może skutkować utratą dobrej reputacji.
Zdarza się, że waga naruszenia oraz kara finansowa przypisana do naruszenia nie idą w parze. W przypadku przedsiębiorcy może on stracić dobrą reputację za najpoważniejsze naruszenie, przy tak naprawdę niewielkiej wysokości kary finansowej i odwrotnie kara finansowa może być bardzo wysoka, a naruszenie tylko poważne, co nie narazi przedsiębiorcy w przypadku pojedynczego wykroczenia na utratę dobrej reputacji.
Naruszenia i ich waga, mogące prowadzić do utraty dobrej reputacji:
- najpoważniejsze naruszenie (NN);
- bardzo poważne naruszenie (BPN);
- poważne naruszenie (PN).
Jak przeliczamy naruszenia ?
- 1 NN wszczyna ocenę dobrej reputacji
- 3 PN = 1 BPN
- 3 BPN (w przeliczeniu na rok na jednego kierowcę) skutkują uruchomieniem procedury oceny dobrej reputacji.
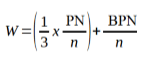
Wzór na określenie współczynnika oceny dobrej reputacji:

- W — współczynnik oceny ryzyka utraty dobrej reputacji (średnia liczba naruszeń w przeliczeniu na rok)
- n — ilość zatrudnionych kierowców
- PN — ilość poważnych naruszeń popełnionych w kontrolowanym okresie
- BPN — ilość bardzo poważnych naruszeń popełnionych w kontrolowanym okresie
Jeśli współczynnik (W) będzie równy 3 lub większy, to uruchomi to ocenę utraty dobrej reputacji.
Należy pamiętać, iż wzór na określenie współczynnika oceny dobrej reputacji wraz z listą naruszeń i ich wag został opublikowany w Rozporządzeniu Komisji (UE) 2016/403 oraz obowiązuje w całej Unii Europejskiej.






